干旱区研究 ›› 2025, Vol. 42 ›› Issue (11): 2071-2082.doi: 10.13866/j.azr.2025.11.10
王理德1,2,3(
), 李浩3, 何静3(
), 陈思航1, 王景瑞1,2, 李诗涵3, 司静怡3
收稿日期:2025-04-24
修回日期:2025-09-01
出版日期:2025-11-15
发布日期:2025-12-13
通讯作者:
何静. E-mail: hejing268@aliyun.com作者简介:王理德(1969-),男,博士,研究员,主要从事生物多样性及水土保持与荒漠化防治研究. E-mail: 460025211@qq.com
基金资助:
WANG Lide1,2,3(
), LI Hao3, HE Jing3(
), CHEN Sihang1, WANG Jingrui1,2, LI Shihan3, SI Jingyi3
Received:2025-04-24
Revised:2025-09-01
Published:2025-11-15
Online:2025-12-13
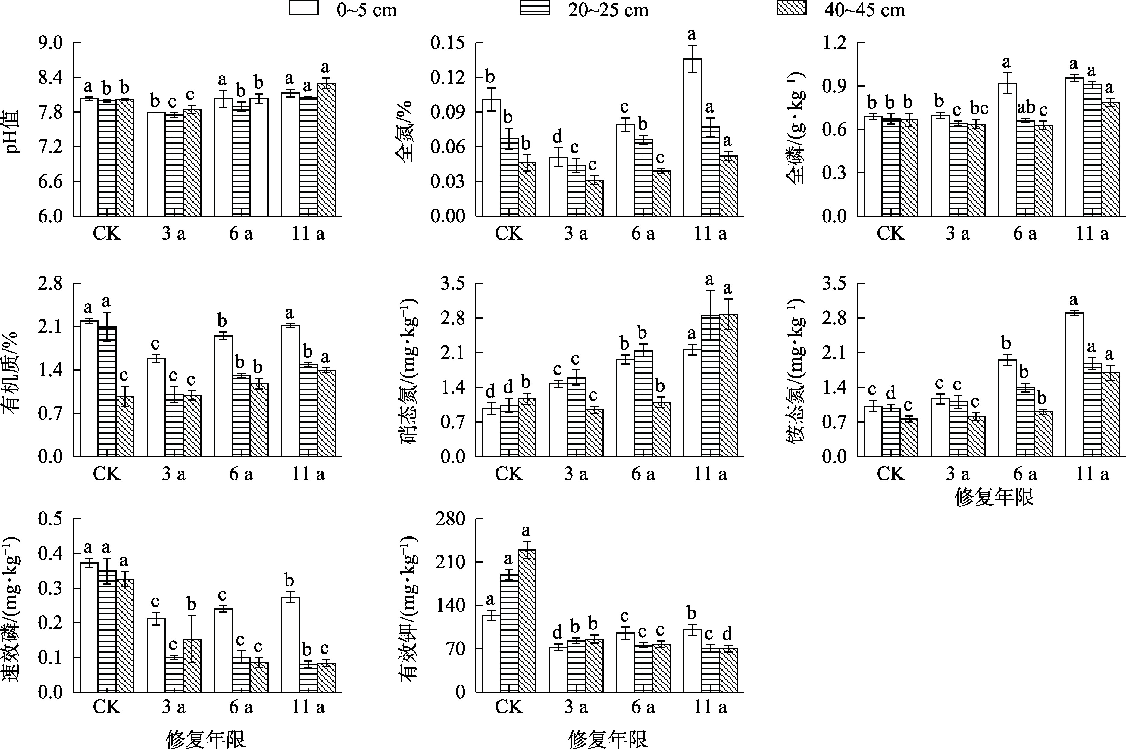
摘要: 为探究双龙沟矸石山不同修复年限人工沙棘林地植物物种多样性及土壤养分的变化规律。以修复3 a、6 a和11 a人工沙棘林地为研究对象,并以未修复的矸石荒山为对照(CK),通过实地调查植被生长情况与土壤养分测定,采用时空替代法探究植物-土壤间的相关性。结果表明:(1) 在修复过程中,样地内出现24科48属65种植物,其中菊科植物占比最大。(2) 随修复年限增加,植物个体数量、物种数、Simpson优势度指数和Margalef丰富度指数整体呈现上升趋势,在修复11 a样地达到最大值,分别为1234株、34种、0.277和3.213; Pielou均匀度指数与Shannon多样性指数整体呈下降趋势。(3) 随土层加深,土壤全氮、全磷、有机质、铵态氮和速效磷显著降低,表聚现象突出;随修复年限延长,全磷、硝态氮和铵态氮含量显著提升。(4) 植物物种多样性与土壤养分密切相关,植物个体数与硝态氮、铵态氮呈极显著正相关,与速效磷呈极显著负相关;植物物种数与土壤pH、全磷、硝态氮、铵态氮呈极显著正相关。Simpson优势度、Margalef丰富度与全磷、硝态氮、铵态氮显著正相关,Pielou均匀度则与速效磷显著正相关,表明土壤全磷、硝态氮、铵态氮和速效磷是影响该区域植物物种多样性的关键养分因子。随着人工修复年限延长,显著提升了双龙沟矸石山地植物物种多样性和土壤养分含量,为废弃矿区生态系统的恢复提供科学依据。
王理德, 李浩, 何静, 陈思航, 王景瑞, 李诗涵, 司静怡. 人工沙棘林地物种多样性及土壤养分变化——以双龙沟矸石山为例[J]. 干旱区研究, 2025, 42(11): 2071-2082.
WANG Lide, LI Hao, HE Jing, CHEN Sihang, WANG Jingrui, LI Shihan, SI Jingyi. Plant species diversity and soil nutrient alter characteristics of artificial Hippophae rhamnoides forests with different restoration years: A case study of Shuanglonggou Gangue Mountain[J]. Arid Zone Research, 2025, 42(11): 2071-2082.
表1
不同修复年限人工沙棘林地样地基本状况"
| 样地编号 | 修复年限/a | 海拔/m | 纬度 | 经度 | 群落优势种 |
|---|---|---|---|---|---|
| CK-1 | 0 | 3113 | 37°22′14″N | 102°22′54″E | 砾地毛茛(Ranunculus glareosus)、臭蒿(Artemisia hedinii)、车前(Plantago asiatica)、沼生繁缕(Stellaria palustris) |
| CK-2 | 0 | 3050 | 37°22′17″N | 102°22′53″E | |
| CK-3 | 0 | 3052 | 37°22′13″N | 102°22′7″E | |
| 3 a-1 | 3 | 3048 | 37°22′16″N | 102°23′9″E | 猪毛蒿(Artemisia scoparia)、蕨麻(Potentilla anserina)、沙棘(Hippophae rhamnoide)、垂穗披碱草(Elymus nutans) |
| 3 a-2 | 3 | 3048 | 37°22′16″N | 102°23′9″E | |
| 3 a-3 | 3 | 3048 | 37°22′15″N | 102°23′9″E | |
| 6 a-1 | 6 | 3003 | 37°22′6″N | 102°23′45″E | 黄白火绒草(Leontopodium ochroleucum)、草地早熟禾(Poa pratensis)、沙棘(Hippophae rhamnoide)、银露梅(Potentilla glabra) |
| 6 a-2 | 6 | 2966 | 37°22′49″N | 102°23′47″E | |
| 6 a-3 | 6 | 2663 | 37°22′7″N | 102°23′12″E | |
| 11 a-1 | 11 | 2959 | 37°22′18″N | 102°23′55″E | 垂穗披碱草(Elymus dahuricus )、金露梅(Dasiphora fruticosa)、沙棘(Hippophae rhamnoide)、早熟禾 (Poa annua) |
| 11 a-2 | 11 | 2868 | 37°22′26″N | 102°23′23″E | |
| 11 a-3 | 11 | 2652 | 37°22′49″N | 102°23′15″E |
表2
植物物种组成特征"
| 编号 | 科 | 属数 | 占总属数比例/% | 物种数 | 占总物种数比例/% |
|---|---|---|---|---|---|
| 1 | 菊科 (Asteraceae) | 10 | 20.833 | 13 | 20.00 |
| 2 | 蔷薇科 (Rosaceae) | 5 | 10.417 | 10 | 15.39 |
| 3 | 禾本科 (Poaceae) | 4 | 8.333 | 6 | 9.231 |
| 4 | 毛茛科 (Ranunculaceae) | 3 | 6.25 | 4 | 6.154 |
| 5 | 蓼科 (Polygonaceae) | 3 | 6.25 | 3 | 4.615 |
| 6 | 十字花科 (Brassicaceae) | 2 | 4.168 | 3 | 4.615 |
| 7 | 石竹科 (Caryophyllaceae) | 2 | 4.168 | 2 | 3.077 |
| 8 | 唇形科 (Lamiaceae) | 2 | 4.168 | 2 | 3.077 |
| 9 | 苋科 (Amaranthaceae) | 2 | 4.168 | 3 | 4.615 |
| 10 | 胡颓子科 (Elaeagnaceae) | 1 | 2.083 | 2 | 3.077 |
| 11 | 莎草科 (Cyperaceae) | 1 | 2.083 | 2 | 3.077 |
| 12 | 堇菜科 (Violaceae) | 1 | 2.083 | 2 | 3.077 |
| 13 | 忍冬科 (Caprifoliaceae) | 1 | 2.083 | 2 | 3.077 |
| 14 | 车前科 (Plantaginaceae) | 1 | 2.083 | 1 | 1.538 |
| 15 | 伞形科 ((Apiaceae) | 1 | 2.083 | 1 | 1.538 |
| 16 | 牻牛儿苗科 (Geraniaceae) | 1 | 2.083 | 1 | 1.538 |
| 17 | 鸢尾科 (Iridaceae) | 1 | 2.083 | 1 | 1.538 |
| 18 | 龙胆科 (Gentianaceae) | 1 | 2.083 | 1 | 1.538 |
| 19 | 柳叶菜科 (Onagraceae) | 1 | 2.083 | 1 | 1.538 |
| 20 | 茜草科 (Rubiaceae) | 1 | 2.083 | 1 | 1.538 |
| 21 | 通泉草科 (Mazaceae) | 1 | 2.083 | 1 | 1.538 |
| 22 | 瑞香科 (Thymelaeaceae) | 1 | 2.083 | 1 | 1.538 |
| 23 | 豆科 (Fabaceae) | 1 | 2.083 | 1 | 1.538 |
| 24 | 荨麻科 (Urticaceae) | 1 | 2.083 | 1 | 1.538 |
| 合计 | 24 | 48 | 100 | 65 | 100 |
表4
植物物种多样性与土壤养分相关性分析"
| 指标 | pH值 | 全氮 | 全磷 | 有机质 | 硝态氮 | 铵态氮 | 速效磷 | 有效钾 |
|---|---|---|---|---|---|---|---|---|
| 个体数(N) | 0.25 | 0.11 | 0.55 | -0.19 | 0.72** | 0.73** | -0.74** | -0.48 |
| 物种数(S) | 0.71** | 0.43 | 0.71** | 0.08 | 0.81** | 0.76** | -0.40 | -0.42 |
| Shannon多样性指数 | 0.52 | 0.30 | 0.12 | 0.16 | 0.06 | 0.11 | 0.23 | 0.30 |
| Pielou均匀度指数 | -0.01 | 0.36 | -0.46 | 0.17 | -0.52 | -0.52 | 0.68* | 0.77** |
| Simpson优势度指数 | 0.45 | 0.37 | 0.65* | 0.03 | 0.76* | 0.71* | -0.44 | -0.44 |
| Margalef丰富度指数 | 0.35 | 0.53 | 0.67* | 0.21 | 0.72* | 0.70* | -0.14 | -0.14 |
| [1] | 雷少刚, 卞正富, 杨永均. 论引导型矿山生态修复[J]. 煤炭学报, 2022, 47(2): 915-921. |
| [ Lei Shaogang, Bian Zhengfu, Yang Yongjun. Discussion on the guided restoration for mine ecosystem[J]. Journal of China Coal Society, 2022, 47(2): 915-921. ] | |
| [2] | 张永康, 曹耀华, 冯乃琦, 等. 某废弃煤矿区土壤重金属污染风险评价[J]. 煤炭学报, 2024, 49(7): 3188-3198. |
| [ Zhang Yongkang, Cao Yaohua, Feng Naiqi, et al. Risk assessment of heavy metals in the soil of an abandoned coal mine area[J]. Joumal of China Coal Society, 2024, 49(7): 3188-3198. ] | |
| [3] |
Sierra M J, Millán R, López F A, et al. Sustainable remediation of mercury contaminated soils by thermal desorption[J]. Environmental Science and Pollution Research, 2016, 23(5): 4898-4907.
doi: 10.1007/s11356-015-5688-8 |
| [4] |
Li H C, Van den Bulcke J, Kibleur P, et al. Soil textural control on moisture distribution at the microscale and its effect on added particulate organic matter mineralization[J]. Soil Biology and Biochemistry, 2022, 172: 108777.
doi: 10.1016/j.soilbio.2022.108777 |
| [5] |
Huang Y T, Hseu Z Y, Hsi H C. Influences of thermal decontamination on mercury removal, soil properties, and repartitioning of coexisting heavy metals[J]. Chemosphere, 2011, 84(9): 1244-1249.
doi: 10.1016/j.chemosphere.2011.05.015 |
| [6] | 宋达成, 王理德, 吴昊, 等. 矸石山不同人工沙棘林土壤酶活性及养分演变特征[J]. 水土保持研究, 2023, 30(5): 162-168, 174. |
| [ Song Dacheng, Wang Lide, Wu Hao, et al. Characteristics of soil enzyme activties and nutrients evolution of different artificial Hippophae rhamnoides plantations in coal gangue area[J]. Research of Soil and Water Conservation, 2023, 30(5): 162-168, 174. ] | |
| [7] | 李苗苗, 叶茂, 曾国燕, 等. 阿勒泰林区草地群落中不同植物种在物种多样性中作用大小的探究[J]. 西北林学院学报, 2024, 39(6): 113-119, 134. |
| [ Li Miaomiao, Ye Mao, Zeng Guoyan, et al. Roles of different plants in the grassland community in Altay forest region in species diversity[J]. Journal of Northwest University, 2024, 39(6): 113-119, 134. ] | |
| [8] | Akinde B P, Olakayode A O, Oyedele D J, et al. Selected physical and chemical properties of soil under different agricultural land-use types in Ile-Ife[J]. Nigeria Heliyon, 2020, 6(9): e05090. |
| [9] | 陈静. 黄河流域煤矿区生物多样性的保护与恢复——以神东矿区为例[J/OL]. 煤炭工程, 1-6[2025-10-22]. https://link.cnki.net/urlid/11.4658.td.20231225.1623.002. |
| [ Chen Jing. Conservation and restoration of biodiversity in coal mining areas of the Yellow River Basin: a case study of Shendong mining area[J/OL]. Coal Engineering, 1-6[2025-10-22]. https://link.cnki.net/urlid/11.4658.td.20231225.1623.002. ] | |
| [10] |
王译庆, 袁朝祥, 岳楷, 等. 植被恢复对矿区土壤微生物群落结构影响的整合分析[J]. 应用生态学报, 2024, 35(4): 1141-1149.
doi: 10.13287/j.1001-9332.202404.030 |
|
[ Wang Yiqing, Yuan Chaoxiang, Yue Kai, et al. Metaanalysis of plant restoration impacts on soil microbial community structure in mining areas[J]. Chinese Journal of Applied Ecology, 2024, 35(4): 1141-1149. ]
doi: 10.13287/j.1001-9332.202404.030 |
|
| [11] | 刘莹, 许丽, 丰菲, 等. 乌海矿区矸石山边坡植被重建初期物种多样性及群落稳定性[J]. 水土保持通报, 2021, 41(1): 190-196. |
| [ Liu Ying, Xu Li, Feng Fei, et al. Species diversity and community stability at early stage of vegetation reclamation in gangue hill slope of Wuhai mining area[J]. Bulletin of Soil and Water Conservation, 2021, 41(1): 190-196. ] | |
| [12] |
常丽, 吴春荣, 何芳兰, 等. 双龙沟废弃采金区人工栽植沙棘后植物群落组成和土壤性质的变化[J]. 中国农学通报, 2019, 35(19): 83-90.
doi: 10.11924/j.issn.1000-6850.casb18020035 |
| [ Chang Li, Wu Chunrong, He Fanglan, et al. Artificial planting of Hippophae rhamnoides in abandoned goldfield of Shuanglong Gully: Effects on community composition and soil properties[J]. Chinese Agricultural Science Bulletin, 2019, 35 (19): 83-90. ] | |
| [13] |
Hamby D M. Site remediation techniques supporting environmental restoration activities—a review[J]. Science of the Total Environment, 1996, 191(3): 203-224.
doi: 10.1016/S0048-9697(96)05264-3 |
| [14] | Ashton M S, Gunatilleke C V S, Singhakumara B M P, et al. Restoration pathways for rain forest in southwest Sri Lanka: A review of concepts and models[J]. Forest Ecology & Management, 2002, 154(3): 409-430. |
| [15] |
Mulligan C N, Yong R N, Gibbs B F. Surfactantenhanced remediation of contaminated soil: A review[J]. Engineering Geology, 2001, 60(1): 371-380.
doi: 10.1016/S0013-7952(00)00117-4 |
| [16] |
Anderson J D, Ingram L J, Stahl P D. Influence of reclamation management practices on microbial biomass carbon and soil organic carbon accumulation in semiarid mined lands of Wyoming[J]. Applied Soil Ecology, 2008, 40(2): 387-397.
doi: 10.1016/j.apsoil.2008.06.008 |
| [17] |
李双雄, 姚拓, 王理德, 等. 祁连山东段退化高寒草地修复过程中土壤微生物生物量变化[J]. 草地学报, 2023, 31(12): 3668-3675.
doi: 10.11733/j.issn.1007-0435.2023.12.011 |
|
[ Li Shuangxiong, Yao Tuo, Wang Lide, et al. Changes of soil microbial biomass during the restoration of the degraded alpine grasslands in eastern Qilian Mountains[J]. Acta Agrestia Sinica, 2023, 31(12): 3668-3675. ]
doi: 10.11733/j.issn.1007-0435.2023.12.011 |
|
| [18] | 任继周. 草业科学研究方法[M]. 北京: 中国农业出版社, 1998. |
| [ Ren Jizhou. Research Methods in Grassland Science[M]. Beijing: China Agriculture Press, 1998. ] | |
| [19] | 王理德, 赵赫然, 宋达成, 等. 人工种植沙棘模式下矸石山复垦土壤微生物和土壤酶活性变化: 以祁连山双龙沟为例[J]. 应用与环境生物学报, 2025, 31(1): 74-86. |
| [ Wang Lide, Zhao Heran, Song Dacheng, et al. Soil microbial change and soil enzyme activity in reclaimed hillock with Hippophae rhamnoides plantations: A case study at the Shuanglonggou area in the eastern Qiian Mountains[J]. Chinese Journal of Applied and Environmental, 2025, 31(1): 74-86. ] | |
| [20] |
宋达成, 吴昊, 王理德, 等. 双龙沟废弃矿区不同造林年限人工沙棘林土壤重金属分布特征及其对酶活性的影响[J]. 草业学报, 2023, 32(8): 61-70.
doi: 10.11686/cyxb2022374 |
|
[ Song Dacheng. Wu Hao, Wang Lide, et al. Distribution of heavy metals and their effects on enzymatic activity in soil of artificial Hippophae rhamnoides forests of different ages near abandoned mines in Shuangionggou[J]. Acta Prataculturae Sinica, 2023, 32(8): 61-70. ]
doi: 10.11686/cyxb2022374 |
|
| [21] |
Wu H, Carrillo J, Ding J Q. Species diversity and environmental determinants of aquatic and terrestrial communities invaded by Alternanthera philoxeroides[J]. Science of the Total Environment, 2017, 581/582: 666-675.
doi: 10.1016/j.scitotenv.2016.12.177 |
| [22] |
王理德, 宋达成, 李广宇, 等. 双龙沟矸石治理过程中植物群落演替及物种多样性研究[J]. 干旱区研究, 2023, 40(8): 1294-1303.
doi: 10.13866/j.azr.2023.08.10 |
|
[ Wang Lide, Song Dacheng, Li Guangyu, et al. Syndynamic and diversity of species during gangue treatment in Shuanglong ditch[J]. Arid Zone Research, 2023, 40(8): 1294-1303. ]
doi: 10.13866/j.azr.2023.08.10 |
|
| [23] | 侯文军, 邹明, 李宝福, 等. 施用草甘膦对桉树人工林土壤理化性质的影响[J]. 林业科学, 2020, 56(8): 20-26. |
| [ Hou Wenjun, Zou Ming, Li Baofu, et al. Effect of glyphosate on soil physicochemical properties of Eucalyptus plantations[J]. Scientia Silvae Sinicae, 2020, 56(8): 20-26. ] | |
| [24] | 张穗粒, 盛茂银, 王霖娇, 等. 西南喀斯特长期植被修复对土壤有机碳组分的影响[J]. 生态学报, 2023, 43(20): 8476-8492. |
| [ Zhang Suili, Sheng Maoyin, Wang Linjiao, et al. Effeets of long term vegetation restorations on soil organic carbon fractions in the karst rocky desertification ecosystem Southwest China[J]. Acta Ecologica Sinica, 2023, 43(20): 8476-8492. ] | |
| [25] | 侍柳彤, 史常青, 赵廷宁, 等. 采石场废弃地植被恢复效果:以北京房山区大石窝镇采石场为例[J]. 生态学杂志, 2024, 43(5): 1416-1425. |
|
[ Shi Liutong, Shi Changqing, Zhao Tingning, et al. Vegetation restoration effect in abandoned quarries: A case study of Dashiwo Town quarry in Fangshan District, Beijing.[J]. Chinese Journal of Ecology, 2024, 43(5): 1416-1425. ]
doi: 10.13292/j.1000-4890.202405.029 |
|
| [26] |
王佳, 田青, 王理德, 等. 民勤青土湖区不同年限退耕地对土壤水分与物种多样性的影响[J]. 干旱区研究, 2022, 39(2): 605-614.
doi: 10.13866/j.azr.2022.02.27 |
|
[ Wang Jia, Tian Qing, Wang Lide, et al. Effects of different years of returning farmland on soil moisture and species diversity in Minqin Qingtu Lake area[J]. Arid Zone Research, 2022, 39(2): 605-614. ]
doi: 10.13866/j.azr.2022.02.27 |
|
| [27] |
李善家, 王兴敏, 刘海锋, 等. 河西走廊荒漠植物多样性及其对环境因子的响应[J]. 生态环境学报, 2023, 32(3): 429-438.
doi: 10.16258/j.cnki.1674-5906.2023.03.001 |
| [ Li Shanjia, Wang Xingmin, Liu Haifeng, et al. Diversity of desert plants in Hexi Corridor and its response to environmental factors[J]. Ecology and Environmental Sciences, 2023, 32(3): 429-438. ] | |
| [28] | Wan Y X, Wang Z D, Chang C P. Protective effect of cropland conversion with different years on soil in Bashang district, North China[J]. Journal of Arid Land Resources and Environment, 2018, 32(9): 84-89. |
| [29] | 王佳, 田青, 王理德, 等. 青土湖不同年限退耕地植被物种多样性及土壤酶活性研究[J]. 西北植物学报, 2021, 41(11): 1900-1911. |
| [ Wang Jia, Tian Qing, Wang Lide, et al. Study on vegetation succession and soil enzyme activities of abandoned land in different years in Qingtu Lake[J]. Acta Botanica BorealiOccidentalia Sinica, 2021, 41(11): 1900-1911. ] | |
| [30] | 王顺霞, 周静静, 李云飞, 等. 宁夏荒漠草原典型植物群落多样性与土壤因子关系[J]. 兰州大学学报(自然科学版), 2023, 59(6): 711-719. |
| [ Wang Shunxia, Zhou Jingjing, Li Yunfei, et al. Relationship between the diversity of typical plant community and soil factors in the desert steppe of Ningxia[J]. Journal of Lanzhou University (Natural Science), 2023, 59(6): 711-719. ] | |
| [31] | 周树平. 柚木人工林林下植被多样性和土壤理化性质的研究[D]. 北京: 中国林业科学研究院, 2017. |
| [ Zhou Shuping. Study on Understory Vegetation Diversity and Soil Physicalchemical Properties of Teak (Tectona grandis L. f) Plantation[D]. Beijing: China Academy of Forestry Sciences, 2017. ] | |
| [32] |
Zhang L, Wang J, Bai Z, et al. Effects of vegetation on runoff and soil erosion on reclaimed land in an opencast coalmine dump in a loess area[J]. Catena, 2015, 128: 44-53.
doi: 10.1016/j.catena.2015.01.016 |
| [33] |
杨红玲, 姚博, 苏永中, 等. 北方农牧交错带人工林土壤理化性质分布格局[J]. 中国沙漠, 2024, 44(2): 283-294.
doi: 10.7522/j.issn.1000-694X.2024.00023 |
|
[ Yang Hongling, Yao Bo, Su Yongzhong, et al. Distribution pattern of soil physical and chemical properties of plantation forest in northern agropastoral ecotone[J]. Journal of Desert Research, 2024, 44(2): 283-294. ]
doi: 10.7522/j.issn.1000-694X.2024.00023 |
|
| [34] |
丁子健, 蒋师丞, 任百慧, 等. 土地利用方式对低山丘陵区土壤理化性质及微生物群落的影响[J]. 草地学报, 2024, 32(2): 426-435.
doi: 10.11733/j.issn.1007-0435.2024.02.009 |
|
[ Ding Zijian, Jiang Shicheng, Ren Baihui, et al. Effeets of land use patterns on soil physical and chemical properties and microbial communities in low hilly land[J]. Acta Agrestia Sinica, 2024, 32(2): 426-435. ]
doi: 10.11733/j.issn.1007-0435.2024.02.009 |
|
| [35] |
高风, 文仕知, 韦铄星, 等. 桂西北石漠化区不同植被恢复类型对土壤理化性质、酶活与真菌群落多样性的影响[J]. 浙江农业学报, 2023, 35(10): 2425-2435.
doi: 10.3969/j.issn.1004-1524.20220879 |
|
[ Gao Feng, Wen Shizhi, Wei Shuoxing, et al. Effet of vegetation restoration models on soil physiochemical properties, enzymes activities and fungal diversity in rocky desertification area of Northwest Guangxi, China[J]. Acta Agriculturae Zhejiangensis, 2023, 35(10): 2425-2435. ]
doi: 10.3969/j.issn.1004-1524.20220879 |
|
| [36] |
Evans R D, Belnap J. Longterm consequences of disturbance on nitrogen dynamics in an arid ecosystem[J]. Ecology, 1999, 80(1): 150-160.
doi: 10.1890/0012-9658(1999)080[0150:LTCODO]2.0.CO;2 |
| [37] |
黄晶, 刘克思, 豆鹏鹏, 等. 农牧交错区不同撂荒年限对农田土壤的影响[J]. 草地学报, 2024, 32(3): 677-683.
doi: 10.11733/j.issn.1007-0435.2024.03.003 |
| [ Huang Jing, Liu Kesi, Dou Pengpeng, et al. Effects of different years of abandonment on cropland soil in the agropastoral ecotone[J]. Acta Agrestia Sinica, 2024, 32(3): 677-683. ] | |
| [38] | 吴昊, 王理德, 宋达成, 等. 民勤退耕区不同年限退耕地土壤理化性质及酶活性[J]. 干旱地区农业研究, 2021, 39(1): 191-199. |
| [ Wu Hao, Wang Lide, Song Dacheng, et al. Soil properties and enzyme activities of abandoned farmland in different years in Minqin[J]. Agricultural Research in the Arid Areas, 2021, 39(1): 191-199. ] | |
| [39] | 曹小玉, 李际平, 委霞. 中亚热带典型林分空间结构对土壤养分含量的影响[J]. 林业科学, 2020, 56(1): 20-28. |
| [ Cao Xiaoyu, Li Jiping, Wei Xia. Effects of spatial structure on soil nutrient content in typical forests in the CentralSubtropics of China[J]. Scientia Silvae Sinicae, 2020, 56(1): 20-28. ] | |
| [40] |
赵蔓, 张晓曼, 杨明洁. 林火干扰对栓皮栎-辽东栎混交林植物多样性与土壤理化性质的影响[J]. 生态环境学报, 2023, 32 (10): 1732-1740.
doi: 10.16258/j.cnki.1674-5906.2023.10.002 |
| [ Zhao Man, Zhang Xiaoman, Yang Mingjie. Efiects of forest fire disturbance on species diversity and soil physicochemical properties of Quercus variabilis and Quercus wutaishansea mixed forests[J]. Ecology and Environmental Sciences, 2023, 32(10): 1732-1740. ] | |
| [41] |
宋思梦, 林冬梅, 周恒宇, 等. 种植巨菌草对乌兰布和沙漠植物物种多样性与土壤理化性质的影响[J]. 生态环境学报, 2023, 32(9): 1595-1605.
doi: 10.16258/j.cnki.1674-5906.2023.09.006 |
| [ Song Simeng, Lin Dongmei, Zhou Hengyu, et al. Effects of planting Cenchrus fungigraminus on plant species diversity and soil physicochemical properties in the Ulan Buh Desert[J]. Ecology and Environmental Sciences, 2023, 32(9): 1595-1605. ] |
| [1] | 张佳凝, 张建军, 赖宗锐, 赵炯昌, 胡亚伟, 李阳, 卫朝阳. 林分密度对刺槐人工林土壤养分和微生物群落的影响[J]. 干旱区研究, 2025, 42(2): 274-288. |
| [2] | 赵雪梅, 马维伟, 张世虎, 常文华, 李广, 赵维军, 张玉. 民勤县公益林植物多样性与土壤因子的关系[J]. 干旱区研究, 2025, 42(1): 108-117. |
| [3] | 苏宇琦, 马苏力娅, 李雨凡, 韦秋雨, 王洪峰, 李文军. 吉尔吉斯斯坦受威胁维管植物物种多样性及其分布格局[J]. 干旱区研究, 2024, 41(8): 1405-1412. |
| [4] | 宋达成, 马全林, 刘世权, 魏林源, 吴昊, 段晓峰, 郭树江. 民勤黏土沙障-人工梭梭林物种多样性及土壤水分变化特征[J]. 干旱区研究, 2024, 41(4): 618-628. |
| [5] | 马龙龙, 易志远, 魏采用, 周峰, 李明涛, 乔成龙, 杜灵通. 宁夏盐池县生态系统水分利用效率时空特征及其影响因素[J]. 干旱区研究, 2024, 41(4): 650-660. |
| [6] | 安宁, 郭彬, 张东梅, 杨淇越, 罗维成. 河西走廊中段荒漠植被组成及土壤养分空间分布特征[J]. 干旱区研究, 2024, 41(3): 432-443. |
| [7] | 张久丹, 张爱国, 靳镜宇, 刘帅琪, 吴瀚, 李均力. 哈密市戈壁表层土壤理化性质及质量现状[J]. 干旱区研究, 2024, 41(11): 1864-1874. |
| [8] | 梁元也, 范连连, 马学喜, 毛洁菲, 惠婷婷, 李耀明. 新疆北部六种草地类型土壤碳氮磷生态化学计量特征[J]. 干旱区研究, 2024, 41(10): 1708-1718. |
| [9] | 李小锋, 惠婷婷, 李耀明, 毛洁菲, 王光宇, 范连连. 不同放牧管理方式对新疆山地草原植物群落特征的影响[J]. 干旱区研究, 2024, 41(1): 124-134. |
| [10] | 曹秭琦, 路战远, 任永峰, 赵小庆, 王建国, 侯智慧, 韩云飞, 王登云, 尚学燕, 段锐. 不同施氮水平对油莎豆农田土壤养分表观平衡和块茎产量的影响[J]. 干旱区研究, 2024, 41(1): 71-79. |
| [11] | 王理德, 宋达成, 李广宇, 赵赫然, 郑克文. 双龙沟矸石治理过程中植物群落演替及物种多样性研究[J]. 干旱区研究, 2023, 40(8): 1294-1303. |
| [12] | 王思淇, 张建军, 张彦勤, 赵炯昌, 胡亚伟, 李阳, 唐鹏, 卫朝阳. 晋西黄土区不同密度刺槐林下植物群落物种多样性[J]. 干旱区研究, 2023, 40(7): 1141-1151. |
| [13] | 乔静娟, 左小安, 岳平, 王国林, 王景圆, 王泽宙. 养分添加与干扰对荒漠草原群落组成及构建的影响[J]. 干旱区研究, 2023, 40(6): 958-970. |
| [14] | 张彤, 刘静, 韩叙, 童郁强, 魏亚伟. 放牧对沙地樟子松林土壤养分及微生物群落的影响[J]. 干旱区研究, 2023, 40(2): 194-202. |
| [15] | 回嵘, 谭会娟, 黄磊, 李新荣. 柴达木盆地盐渍化土壤养分和酶活性特征[J]. 干旱区研究, 2023, 40(11): 1776-1784. |
|
||