Arid Zone Research ›› 2025, Vol. 42 ›› Issue (8): 1488-1500.doi: 10.13866/j.azr.2025.08.12
• Ecology and Environment • Previous Articles Next Articles
LIU Fenglian1,2(
), LUO Qinqin1,3, YANG Bowen1, CHEN Hongmin1, GAO Ziyi4(
)
Received:2025-04-02
Revised:2025-06-15
Online:2025-08-15
Published:2025-11-24
LIU Fenglian, LUO Qinqin, YANG Bowen, CHEN Hongmin, GAO Ziyi. Landscape ecological risk and driving factors in the Jinghe River Basin based on geodetector analysis[J].Arid Zone Research, 2025, 42(8): 1488-1500.
Add to citation manager EndNote|Reference Manager|ProCite|BibTeX|RefWorks
Tab. 1
Mathematical expression for assessing landscape ecological risk"
| 名称 | 公式 | 含义 |
|---|---|---|
| 景观破碎度指数(Pi) | 指景观被分割成不连续、破碎化斑块的程度,是衡量区域景观空间复杂性的重要指标 | |
| 景观分离度指数(Ki) | 指同一类型景观的不同斑块之间在空间上的分离程度,用于反映景观在空间分布上的分散状态 | |
| 景观优势度指数(Ti) | 用于测度整体景观结构中某一景观类型支配其他景观类型的程度,反映景观在生态、美学和社会层面上的优势度 | |
| 景观干扰度指数(Gi) | 用于表示景观生态环境受外界因素活动影响的程度 | |
| 景观脆弱度指数(Wi) | 建设用地赋值为1,林地为2,草地为3,耕地为4,水域为5,未利用地为6,进行归一化处理 | 指用于衡量景观系统对外界干扰的敏感性和恢复能力 |
| 景观损失度指数(Xi) | Xi=Gi×Wi | 指景观生态系统在受到外界因素影响后受损状况和恢复能力的强弱 |
Tab. 2
Change trend of landscape ecological risk in the Jinghe River Basin"
| 变化趋势 | 2000—2010年 | 2010—2020年 | 2000—2020年 | |||||
|---|---|---|---|---|---|---|---|---|
| 面积/km2 | 占比/% | 面积/km2 | 占比/% | 面积/km2 | 占比/% | |||
| 稳定 | 3.83×104 | 82.35 | 4.13×104 | 88.71 | 3.74×104 | 80.24 | ||
| 升高 | 924.81 | 1.99 | 2681.24 | 5.74 | 1725.17 | 3.71 | ||
| 降低 | 7022.51 | 15.07 | 2080.93 | 4.47 | 6888.20 | 14.78 | ||
| 显著升高 | 172.30 | 0.37 | 398.68 | 0.86 | 396.27 | 0.85 | ||
| 显著降低 | 101.91 | 0.22 | 100.56 | 0.22 | 196.07 | 0.42 | ||
Tab. 3
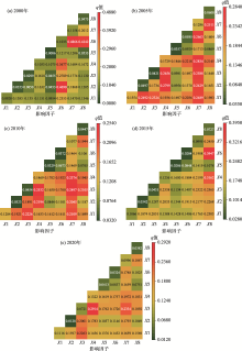
Single factor detection results of landscape ecological risk driving factors"
| 影响因素 | 因子/序号 | 贡献度/% | ||||
|---|---|---|---|---|---|---|
| 2000年 | 2005年 | 2010年 | 2015年 | 2020年 | ||
| 自然因素 | 高程(X1) | 17.23 | 22.09 | 22.31 | 19.86 | 20.66 |
| NDVI(X2) | 6.56 | 7.06 | 5.61 | 6.37 | 2.37 | |
| 年均降水量(X3) | 5.54 | 5.98 | 7.90 | 8.03 | 13.34 | |
| 年均气温(X4) | 19.56 | 24.57 | 25.53 | 23.03 | 24.48 | |
| 社会经济因素 | 人口密度(X5) | 1.60 | 5.08 | 5.71 | 5.33 | 7.65 |
| 夜间灯光(X6) | 19.19 | 8.31 | 6.46 | 5.29 | 5.99 | |
| GDP密度(X7) | 21.50 | 18.27 | 18.70 | 18.54 | 18.44 | |
| 人为干扰度(X8) | 8.82 | 8.64 | 7.78 | 13.55 | 7.07 | |
| [1] |
杨荣钦, 肖玉磊, 池苗苗, 等. 近20 a塔里木河流域人类活动及景观生态风险时空变化[J]. 干旱区研究, 2024, 41(6): 1010-1020.
doi: 10.13866/j.azr.2024.06.10 |
|
[Yang Rongqin, Xiao Yulei, Chi Miaomiao, et al. Temporal and spatial variations of human activities and landscape ecological risks in the Tarim River Basin, China, during the last 20 years[J]. Arid Zone Research, 2024, 41(6): 1010-1020.]
doi: 10.13866/j.azr.2024.06.10 |
|
| [2] | 刘纪远, 匡文慧, 张增祥, 等. 20世纪80年代末以来中国土地利用变化的基本特征与空间格局[J]. 地理学报, 2014, 69(1): 3-14. |
|
[Liu Jiyuan, Kuang Wenhui, Zhang Zengxiang, et al. Spatiotemporal characteristics, patterns and causes of land use changes in China since the late 1980s[J]. Acta Geographica Sinica, 2014, 69(1): 3-14.]
doi: 10.11821/dlxb201401001 |
|
| [3] |
彭建, 党威雄, 刘焱序, 等. 景观生态风险评价研究进展与展望[J]. 地理学报, 2015, 70(4): 664-677.
doi: 10.11821/dlxb201504013 |
|
[Peng Jian, Dang Weixiong, Liu Yanxu, et al. Review on landscape ecological risk assessment[J]. Acta Geographica Sinica, 2015, 70(4): 664-677.]
doi: 10.11821/dlxb201504013 |
|
| [4] |
Bao T T, Wang R F, Song L H, et al. Spatio-temporal multi-scale analysis of landscape ecological risk in Minjiang River Basin based on adaptive cycle[J]. Remote Sensing, 2022, 14(21): 5540.
doi: 10.3390/rs14215540 |
| [5] |
Landis W G. Ecological risk assessment conceptual model formulation for nonindigenous species[J]. Risk Analysis : An International Journal, 2004, 24(4): 847-858.
doi: 10.1111/risk.2004.24.issue-4 |
| [6] |
Ayre K K, Landis G W. A Bayesian approach to landscape ecological risk assessment applied to the upper Grande Ronde Watershed, Oregon[J]. Human and Ecological Risk Assessment: An International Journal, 2012, 18(5): 946-970.
doi: 10.1080/10807039.2012.707925 |
| [7] |
Malandra F, Vitali A, Urbinati C, et al. Patterns and drivers of forest landscape change in the Apennines range, Italy[J]. Regional Environmental Change, 2019, 19(7): 1973-1985.
doi: 10.1007/s10113-019-01531-6 |
| [8] | 田雅楠, 马龙, 吴全. 黄河流域内蒙古段土地利用演变与景观生态风险评价[J]. 生态科学, 2023, 42(5): 103-113. |
| [Tian Ya nan, Ma Long, Wu Quan. Landscape ecological risk assessment in Inner Mongolia reaches of Yellow River based on land use evolution[J]. Ecological Science, 2023, 42(5): 103-113.] | |
| [9] |
马颖忆, 刘志峰. 江苏省景观生态风险评估及其与城镇化的动态响应[J]. 南京林业大学学报(自然科学版), 2021, 45(5): 185-194.
doi: 10.12302/j.issn.1000-2006.202008049 |
| [Ma Yingyi, Liu Zhifeng. Assessment of landscape ecological risk and its dynamic response with urbanization development of Jiangsu Province[J]. Journal of Nanjing Forestry University (Natural Sciences Edition), 2021, 45(5): 185-194.] | |
| [10] |
高彬嫔, 李琛, 吴映梅, 等. 川滇生态屏障区景观生态风险评价及影响因素[J]. 应用生态学报, 2021, 32(5): 1603-1613.
doi: 10.13287/j.1001-9332.202105.018 |
|
[Gao Binpin, Li Chen, Wu Yingmei, et al. Landscape ecological risk assessment and influencing factors in ecological conservation area in Sichuan-Yunnan Provinces, China[J]. Chinese Journal of Applied Ecology, 2021, 32(5): 1603-1613.]
doi: 10.13287/j.1001-9332.202105.018 |
|
| [11] | 刘敏, 蔡海生, 张学玲, 等. 基于Geodetector-GTWR的江西省景观生态风险及驱动因素[J/OL]. 环境科学, [2025-03-19]. https://doi.org/10.13227/j.hjkx.202409113. |
| [Liu Min, Cai Haisheng, Zhang Xueling, et al. Landscape ecological risk and its driving factors in Jiangxi Province based on Geodetector-GTWR[J/OL]. Environmental Science, [2025-03-19]. https://doi.org/10.13227/j.hjkx.202409113.] | |
| [12] | 杜佳衡, 王影雪, 潘悦, 等. 高原河谷县域景观生态风险评价与生态安全格局构建——以云南省大理州永平县为例[J]. 生态学杂志, 2024, 43(5): 1509-1520. |
|
[Du Jiaheng, Wang Yingxue, Pan Yue, et al. Ecological risk assessment and ecological security pattern construction of county-level landscape in plateau valley: A case study in Yongping County, Dali Prefecture, Yunnan Province[J]. Chinese Journal of Ecology, 2024, 43(5): 1509-1520.]
doi: 10.13292/j.1000-4890.202405.046 |
|
| [13] | 钟祺康, 王志一, 王娜, 等. 陕北干旱区景观生态风险空间分异特征及驱动因素分析[J]. 测绘通报, 2022, 28(7):100-106. |
| [Zhong Qikang, Wang Zhiyi, Wang Na, et al. Spatial differentiation characteristics and driving factors of landscape ecological risk in arid area of northern Shaanxi[J]. Bulletin of Surveying and Mapping, 2022, 28(7): 100-106.] | |
| [14] | 刘迪, 陈海, 张敏, 等. 生态脆弱区景观生态风险时空分异及其地形梯度分析——以陕西省米脂县为例[J]. 水土保持研究, 2019, 26(4): 239-244, 251. |
| [Liu Di, Chen Hai, Zhang Min, et al. Analysis of spatial-temporal distribution of landscape ecological risk in ecologically vulnerable areas and its terrain gradient: A case study of Mizhi County of Shaanxi Province[J]. Research of Soil and Water Conservation, 2019, 26(4): 239-244, 251.] | |
| [15] | 宋昌素, 王育哲. 党的二十大以来习近平生态文明思想研究述评[J]. 中国井冈山干部学院学报, 2025, 18(1): 138-144. |
| [Song Changsu, Wang Yuzhe. Review on the research of Xi Jinping’s thought on ecological civilization since the 20th National Congress of the CPC[J]. Journal of China Executive Leadership Academy Jinggangshan, 2025, 18(1): 138-144.] | |
| [16] | 刘可暄, 王冬梅, 魏源送, 等. 密云水库流域多尺度景观生态风险时空演变趋势[J]. 生态学报, 2023, 43(1): 105-117. |
| [Liu Kexuan, Wang Dongmei, Wei Yuansong, et al. Spatio-temporal evolution trend of multi-scale landscape ecological risk in Miyun Reservoir Watershed[J]. Acta Ecologica Sinica, 2023, 43(1): 105-117.] | |
| [17] |
苏海民, 何爱霞. 基于RS和地统计学的福州市土地利用分析[J]. 自然资源学报, 2010, 25(1): 91-99.
doi: 10.11849/zrzyxb.2010.01.010 |
|
[Su Haimin, He Aixia. Analysis of land use based on RS and geostatistics in Fuzhou City[J]. Journal of Natural Resources, 2010, 25(1): 91-99.]
doi: 10.11849/zrzyxb.2010.01.010 |
|
| [18] | 王舒, 刘凤莲, 陈威廷, 等. 滇中高原湖泊流域景观生态风险评价及驱动因素识别[J]. 中国生态农业学报(中英文), 2024, 32(3):391-404. |
| [Wang Shu, Liu Fenglian, Chen Weiting, et al. Landscape ecological risk evaluation and driving factors in the lake basin of Central Yunnan Plateau[J]. Chinese Journal of Eco-Agriculture, 2024, 32(3): 391-404.] | |
| [19] |
张学斌, 石培基, 罗君, 等. 基于景观格局的干旱内陆河流域生态风险分析——以石羊河流域为例[J]. 自然资源学报, 2014, 29(3): 410-419.
doi: 10.11849/zrzyxb.2014.03.005 |
|
[Zhang Xuebin, Shi Peiji, Luo Jun, et al. The ecological risk assessment of arid inland river basin at the landscape scale: A case study on Shiyang River Basin[J]. Journal of Natural Resources, 2014, 29(3): 410-419.]
doi: 10.11849/zrzyxb.2014.03.005 |
|
| [20] |
王劲峰, 徐成东. 地理探测器: 原理与展望[J]. 地理学报, 2017, 72(1): 116-134.
doi: 10.11821/dlxb201701010 |
|
[Wang Jinfeng, Xu Chendong. Geodetectors: Principles and prospects[J]. Acta Geographica Sinica, 2017, 72(1): 116-134.]
doi: 10.11821/dlxb201701010 |
|
| [21] |
孙丽蓉, 周冬梅, 岑国璋, 等. 基于地理探测器模型的疏勒河流域景观生态风险评价及驱动因素分析[J]. 干旱区地理, 2021, 44(5): 1384-1395.
doi: 10.12118/j.issn.1000–6060.2021.05.19 |
|
[Sun Lirong, Zhou Dongmei, Ceng Guozhang, et al. Landscape ecological risk assessment and driving factors of the Shule River Basin based on the geographic detector model[J]. Arid Land Geography, 2021, 44(5): 1384-1395.]
doi: 10.12118/j.issn.1000–6060.2021.05.19 |
|
| [22] |
余玉洋, 李晶, 周自翔, 等. 基于贝叶斯网络的生态系统服务空间格局优化——以泾河流域为例[J]. 干旱区地理, 2022, 45(4):1268-1280.
doi: 10.12118/j.issn.1000-6060.2021.465 |
|
[Yu Yuyang, Li Jing, Zhou Zixiang, et al. Spatial pattern optimization of ecosystem services based on Bayesian networks: A case of the Jing River Basin[J]. Arid Land Geography, 2022, 45(4): 1268-1280.]
doi: 10.12118/j.issn.1000-6060.2021.465 |
|
| [23] | 樊凯瑄, 周自翔, 付媛, 等. 黄土高原中部泾河流域景观生态韧性动态特征[J]. 地球科学与环境学报, 2023, 45(6): 1299-1315. |
| [Fan Kaixuan, Zhou Zixiang, Fu Yuan, et al. Dynamic characteristics of landscape ecological resilience in Jinghe River Basin, the middle of Loess Plateau, China[J]. Journal of Earth Sciences and Environment, 2023, 45(6): 1299-1315.] | |
| [24] |
Karimian H, Zou W, Chen Y, et al. Landscape ecological risk assessment and driving factor analysis in Dongjiang River Watershed[J]. Chemosphere, 2022, 307: 135835.
doi: 10.1016/j.chemosphere.2022.135835 |
| [28] | [Gao Lin, Zhao Zhongqiu, Song Dongyang, et al. Evolution of landscape ecological risk and its response to natural and anthropogenic factors: A case study of ecological conservation area in Beijing[J]. China Environmental Science, 2024, 44(7):4031-4041.] |
| [29] | 张师赫, 李宝银, 林玉英, 等. 基于生态系统服务的景观生态风险评价及其驱动因素研究——以福建省为例[J]. 水土保持研究, 2022, 29(6): 174-182. |
| [Zhang Shihe, Li Baoyin, Lin Yuying, et al. Research on landscape ecological risk assessment and driving factors based on ecosystem services: A case study of Fujian Province[J]. Region Research of Soil and Water Conservation, 2022, 29(6): 174-182.] | |
| [30] | 罗芹芹, 刘凤莲. 赤水河流域(贵州段)景观生态风险时空演变及驱动力探索[J]. 中国生态农业学报(中英文), 2025, 33(3): 550-562. |
| [Luo Qinqin, Liu Fenglian. Spatial-temporal evolution and driving forces of landscape ecological risk in the Chishui River Basin (Guizhou section)[J]. Chinese Journal of Eco-Agriculture, 2025, 33(3): 550-562.] | |
| [25] | 耿艳辉, 吕爱锋, 闵庆文, 等. 泾河流域不同时期土壤侵蚀状况及分区的植被建设研究[J]. 干旱区研究, 2012, 29(3): 385-392. |
| [Geng Yanhui, Lü Aifeng, Min Qingwen, et al. Research on soil erosion and regional differentiation of forestland in the Jinghe Watershed[J]. Arid Zone Research, 2012, 29(3): 385-392.] | |
| [26] |
修炀景, 侯蒙京, 田骄阳, 等. 基于土地利用/覆盖的甘肃省景观生态风险时空变化特征[J]. 草业学报, 2023, 32(1): 1-15.
doi: 10.11686/cyxb2021298 |
|
[Xiu Yangjing, Hou Mengjing, Tian Jiaoyang, et al. Characteristics of temporal and spatial variation in landscape ecological risk in Gansu Province based on land use and cover[J]. Acta Prataculturae Sinica, 2023, 32(1): 1-15.]
doi: 10.11686/cyxb2021298 |
|
| [27] | 于婧, 汤昪, 陈艳红, 等. 山水资源型城市景观生态风险评价及生态安全格局构建——以张家界市为例[J]. 生态学报, 2022, 42(4): 1290-1299. |
| [Yu Jing, Tang Bian, Chen Yanhong, et al. Landscape ecological risk assessment and ecological security pattern construction in landscape resource-based city: A case study of Zhangjiajie City[J]. Acta Ecologica Sinica, 2022, 42(4): 1290-1299.] | |
| [28] | 高林, 赵中秋, 宋东阳, 等. 景观生态风险演变及其对驱动因素的响应——以北京生态涵养区为例[J]. 中国环境科学, 2024, 44(7): 4031-4041. |
| [1] | DI Yanfeng, DUAN Weili, ZHOU Yiqi, HE Chao. Sustainable dynamics and driving factors of the global virtual water trade in crops [J]. Arid Zone Research, 2025, 42(6): 993-1003. |
| [2] | CHEN Zhen, CAI Zhaozhao, MA Nan, DAI Shuo, WANG Zhenlu. Spatial-temporal pattern and driving force analysis of NDVI in Xinjiang from 2001 to 2023 [J]. Arid Zone Research, 2025, 42(5): 922-932. |
| [3] | ZHANG Qipeng, LU Honge, ZHAO Dichen, Zhuomalancao . Relationship between temporal and spatial changes of vegetation coverage and topographic factors in the Upper Yellow River in Gannan [J]. Arid Zone Research, 2025, 42(3): 523-522. |
| [4] | GONG Xiaowei, ZHOU Dongmei, ZHANG Jun, LUO Shiyu, CHEN Jiankun, GAO Yajuan. Landscape ecological risk evaluation and degree of coupling coordination in Qingyang City from the perspective of production-living-ecological space [J]. Arid Zone Research, 2025, 42(3): 556-567. |
| [5] | ZHANG Lei, ZHOU Yuming, DONG Jiemou, LI Xiang, LIU Shidong, XU Liping. Spatiotemporal differentiation of nonagricultural and nongrain farmland in China and its management strategies [J]. Arid Zone Research, 2025, 42(2): 372-383. |
| [6] | ZHANG Wenrui, SUN Dongyuan, WANG Yike, YANG Jun, LAN Lijun, JIN Hujia, XU Yu. Coupling relationship and spatiao-temporal differentiation of the water resources-ecological environment-social economic system in the Hexi Corridor [J]. Arid Zone Research, 2024, 41(9): 1527-1537. |
| [7] | WU Siyuan, HAO Lina. Changes in vegetation cover and driving factors in the Yellow River Basin from 2001 to 2021 [J]. Arid Zone Research, 2024, 41(8): 1373-1384. |
| [8] | GAO Pengcheng, YUE Yanni, YAN Jixuan, WANG Shijie, BIE Qiang. Spatio-temporal evolution and driving factors of land use and ecological risk in Gannan Tibetan Autonomous Prefecture [J]. Arid Zone Research, 2024, 41(7): 1140-1152. |
| [9] | YANG Rongqin, XIAO Yulei, CHI Miaomiao, MU Zhenxia. Temporal and spatial variations of human activities and landscape ecological risks in the Tarim River Basin, China, during the last 20 years [J]. Arid Zone Research, 2024, 41(6): 1010-1020. |
| [10] | ZHOU Jianwei, LUO Jun, MA Xueyang. Spatio-temporal evolution and driving factors of land use and ecosystem service value in the Lhasa River Basin, China [J]. Arid Zone Research, 2024, 41(6): 1021-1031. |
| [11] | HOU Jiaye, LI Jianhua, WANG Jiarong, MA Haitao, QIANG Zekai, FAN Xingang. The evolution of ecological quality in Yanchi County based on the SA-RSEI model [J]. Arid Zone Research, 2024, 41(6): 1045-1058. |
| [12] | CAI Yuqin, QI Donglin, WANG Liefu, LI Haifeng, ZHANG Deqin. Spatial and temporal evolution characteristics of different grades of cold days in Qinghai Province [J]. Arid Zone Research, 2024, 41(5): 742-752. |
| [13] | LEI Feiya, LI Xiaoshuang, TAO Ye, YIN Benfeng, RONG Xiaoying, ZHANG Jing, LU Yongxing, GUO Xing, ZHOU Xiaobing, ZHANG Yuanming. Characterization of soil multifunctionality and its determining factors under moss crust cover in the arid regions of Northwest China [J]. Arid Zone Research, 2024, 41(5): 812-820. |
| [14] | ZHAO Dongying, MENG Zhongju, MENG Ruibing, MA Ze. Dynamic change characteristics and driving forces of vegetation cover in the Ulan Buhe Desert along the Yellow River [J]. Arid Zone Research, 2024, 41(4): 639-649. |
| [15] | SI Qi, FAN Haoran, DONG Wenming, LIU Xinping. Landscape ecological risk assessment and prediction for the Yarkant River Basin, Xinjiang, China [J]. Arid Zone Research, 2024, 41(4): 684-696. |
|
||