Arid Zone Research ›› 2025, Vol. 42 ›› Issue (8): 1451-1462.doi: 10.13866/j.azr.2025.08.09
• Plant Ecology • Previous Articles Next Articles
SHI Linqi1,2(
), MA Quanlin1,2(
), MA Rui1, DUAN Xiaofeng3, WEI Linyuan3
Received:2025-02-13
Revised:2025-05-16
Online:2025-08-15
Published:2025-11-24
SHI Linqi, MA Quanlin, MA Rui, DUAN Xiaofeng, WEI Linyuan. Characterization of soil carbon fractions in typical sand-fixing vegetation at the southern edge of the Tengger Desert[J].Arid Zone Research, 2025, 42(8): 1451-1462.
Add to citation manager EndNote|Reference Manager|ProCite|BibTeX|RefWorks
Tab. 1
Basic information of sample plots"
| 植被生境基本信息 | 植被类型 | |||
|---|---|---|---|---|
| 人工种植花棒 | 霸王 | 驼绒藜 | 油蒿 | |
| 海拔/m | 1659~1802 | 1622~1647 | 1651~1749 | 1719~1785 |
| 物种数量/种 | 15 | 7 | 10 | 5 |
| 优势种 | 花棒 | 霸王 | 驼绒藜 | 油蒿 |
| 群落伴生植物 | 油蒿、猫头刺、沙蒿、旱蒿 | 驼绒藜、油蒿、旱蒿 | 油蒿、天门冬、霸王 | 天门冬、猫头刺 |
| 灌木盖度/% | 20.20 | 12.61 | 25.66 | 19.82 |
| 草本盖度/% | 12.87 | 6.67 | 8.30 | 3.53 |
| 植被总盖度/% | 33.07 | 19.28 | 33.95 | 23.35 |
| 优势种密度/(株·hm-2) | 1622 | 828 | 3566 | 9200 |
| 样地经纬度 | 37°33′~37°46′N,103°10′~103°41′E | 37°51′~37°52′N,103°16′~103°19′E | 37°40′~37°50′N, 103°12′~103°26′E | 37°33′~37°41′N, 103°31′~103°38′E |
Tab. 2
Comparison of average physical and chemical indices of 0~100 cm soil profile of different sand-fixing vegetation"
| 土壤理化指标 | 植被类型 | |||
|---|---|---|---|---|
| 人工种植花棒 | 霸王 | 驼绒藜 | 油蒿 | |
| 土壤pH值 | 8.91±0.03b | 8.96±0.04ab | 9.05±0.03a | 9.03±0.02a |
| 全氮/(g·kg-1) | 0.12±0.01a | 0.08±0.01b | 0.08±0.01b | 0.07±0.01b |
| 全磷/(g·kg-1) | 0.21±0.01a | 0.19±0.01ab | 0.18±0.01b | 0.16±0.01b |
| 全钾/(g·kg-1) | 19.39±0.08a | 19.32±0.12a | 19.21±0.10a | 19.33±0.06a |
| 有效磷/(mg·kg-1) | 1.29±0.37a | 0.88±0.22a | 1.29±0.44a | 1.01±0.08a |
| 速效钾/(mg·kg-1) | 81.50±4.45a | 79.71±8.82a | 73.58±7.12a | 72.83±2.65a |
| 缓效钾/(mg·kg-1) | 378.17±18.89a | 300.96±20.26b | 328.08±16.84ab | 372.50±27.47a |
| 碱解氮/(mg·kg-1) | 8.44±0.97a | 6.81±0.91b | 7.17±0.73b | 5.64±0.44c |
| 铵态氮/(mg·kg-1) | 0.62±0.06b | 1.23±0.15a | 0.80±0.11b | 0.79±0.12b |
| 硝态氮/(mg·kg-1) | 2.78±0.69b | 4.12±0.69a | 3.74±0.55ab | 2.31±0.38b |
| 电导率/(μs·cm-1) | 56.17±2.85ab | 52.01±1.34ab | 58.64±3.34a | 50.20±2.27b |
| 土壤含水量/% | 2.17±0.35a | 1.23±0.15a | 1.45±0.65a | 1.50±0.26a |
| 土壤容重/(g·cm-3) | 1.48±0.02b | 1.52±0.02a | 1.52±0.01a | 1.54±0.01a |
Tab. 3
Total carbon content and proportions of carbon fractions in the 0-100 cm soil layer across different sand-fixing vegetation types"
| 碳组分及比例/% | 植被类型 | 天然固沙植被均值 | 平均值 | |||
|---|---|---|---|---|---|---|
| 人工种植花棒 | 霸王 | 驼绒藜 | 油蒿 | |||
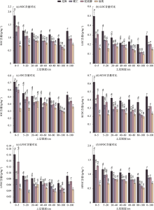
| TC | 4.54±0.09a | 3.94±0.06b | 3.98±0.10b | 3.23±0.10c | 3.72 | 3.93 |
| SIC/TC | 72.49±2.34a | 76.15±1.68a | 76.00±2.42a | 77.29±1.43a | 76.48 | 75.48 |
| SOC/TC | 27.51±2.34a | 23.85±1.68a | 24.00±2.42a | 22.71±1.43a | 23.52 | 24.52 |
| LOC/TC | 6.42±0.91a | 5.12±0.51a | 5.12±0.63a | 4.65±0.44a | 4.96 | 5.33 |
| SCOC/TC | 9.73±0.67a | 7.41±0.46b | 8.07±0.80ab | 7.18±0.39b | 7.55 | 8.10 |
| IOC/TC | 11.60±0.76a | 10.91±1.07a | 11.15±0.91a | 11.25±0.71a | 11.10 | 11.23 |
| LFOC/TC | 1.96±0.29a | 1.59±0.13a | 1.77±0.31a | 1.38±0.13a | 1.58 | 1.67 |
| HFOC/TC | 25.55±2.06a | 22.26±1.55a | 22.23±2.14a | 21.33±1.34a | 21.94 | 22.84 |
Tab. 4
Importance sequencing and significance test results of interpretation of soil environmental factors"
| 影响因子 | 解释度/% | 贡献度/% | F | P |
|---|---|---|---|---|
| TN | 77.6 | 80.6 | 76.1 | 0.002 |
| SK | 8.6 | 8.9 | 13.1 | 0.002 |
| NH4+-N | 2.2 | 2.3 | 3.8 | 0.052 |
| TP | 2.6 | 2.7 | 5.4 | 0.028 |
| AK | 1.7 | 1.8 | 4.2 | 0.05 |
| BD | 0.9 | 0.9 | 2.4 | 0.108 |
| SWV | 0.4 | 0.4 | 1.1 | 0.302 |
| EC | 0.5 | 0.5 | 1.3 | 0.276 |
| AN | 0.5 | 0.5 | 1.4 | 0.248 |
| AP | 0.5 | 0.5 | 1.4 | 0.254 |
| pH | 0.4 | 0.4 | 1.0 | 0.324 |
| NO3--N | 0.2 | 0.2 | 0.6 | 0.470 |
| TK | 0.3 | 0.3 | 0.7 | 0.428 |
| [1] |
Minasny B, Malone B P, Mcbratney A B, et al. Soil carbon 4 per mille[J]. Geoderma, 2017, 292: 59-86.
doi: 10.1016/j.geoderma.2017.01.002 |
| [2] | 杨丽娟, 孙凯, 程蕊, 等. 长期氮磷添加对滨海湿地土壤微生物残体碳和酶活性的影响[J]. 生态与农村环境学报, 2024, 40(12): 1624-1633. |
| [Yang Lijuan, Sun Kai, Cheng Rui, et al. Effects of long-term nitrogen and phosphorus supply on soil microbial necromass carbon and enzyme activities in a coastal wetland[J]. Journal of Ecology and Rural Environment, 2024, 40(12): 1624-1633.] | |
| [3] |
卢伟伟, 杨佳. 苏北滨海土壤无机碳组成和储量及其控制因子[J]. 应用生态学报, 2024, 35(8): 2131-2140.
doi: 10.13287/j.1001-9332.202408.010 |
|
[Lu Weiwei, Yang Jia. Composition and storage of soil inorganic carbon as well as the controlling factors in coastal area of the northern Jiangsu, China[J]. Chinese Journal of Applied Ecology, 2024, 35(8): 2131-2140.]
doi: 10.13287/j.1001-9332.202408.010 |
|
| [4] |
Li Y, Wang Y G, Houghton R A, et al. Hidden carbon sink beneath desert[J]. Geophysical Research Letters, 2015, 42(14): 5880-5887.
doi: 10.1002/grl.v42.14 |
| [5] | 宋佼阳, 赵广兴, 丛孟菲, 等. 荒漠-绿洲过渡带不同土地利用类型下土壤有机碳矿化特征及其对氮添加的响应[J/OL]. 生态学杂志, [2025-02-01]. https://link.cnki.net/urlid/21.1148.Q.20240821.1038.003. |
| [Song Jiaoyang, Zhao Guangxing, Cong Mengfei, et al. Effects of nitrogen addition on soil organic carbon mineralization characteristics under different land use types in desert-oasis transition zone[J/OL]. Chinese Journal of Ecology, [2025-02-01]. https://link.cnki.net/urlid/21.1148.Q.20240821.1038.003.] | |
| [6] | 李一凡, 毋亭, 姚园, 等. 气候变化与作物物候响应对福建省耕地土壤有机碳的影响[J]. 环境科学, 2024, 45(10): 6012-6027. |
| [Li Yifan, Wu Ting, Yao Yuan, et al. Effects of climate changes and crop phenological responses on soil organic carbon of cultivated land in Fujian Province[J]. Environmental Science, 2024, 45(10): 6012-6027.] | |
| [7] | 王兴凯, 王小利, 段建军, 等. 土壤活性有机碳的测定及其影响因素概述[J]. 土壤科学, 2018, 6(4): 125-132. |
|
[Wang Xingkai, Wang Xiaoli, Duan Jianjun, et al. Determination of soil active organic carbon content and its influence factors[J]. Hans Journal of Soil Science, 2018, 6(4): 125-132.]
doi: 10.12677/HJSS.2018.64016 |
|
| [8] |
张淑香, 张文菊, 徐明岗. 土壤活性有机碳的影响因素与综合分析[J]. 中国农业科学, 2020, 53(6): 1178-1179.
doi: 10.3864/j.issn.0578-1752.2020.06.009 |
|
[Zhang Shuxiang, Zhang Wenju, Xu Minggang. Influencing factors and comprehensive analysis of soil active organic carbon[J]. Scientia Agricultura Sinica, 2020, 53(6): 1178-1179.]
doi: 10.3864/j.issn.0578-1752.2020.06.009 |
|
| [9] | 毛馨月, 沈育伊, 褚俊智, 等. 模拟氮沉降对中亚热带桉树人工林土壤有机碳组分及碳库管理指数的影响[J]. 环境科学, 2025, 46(2): 1032-1045. |
| [Mao Xinyue, Shen Yuyi, Chu Junzhi, et al. Effects of simulated nitrogen deposition on soil organic carbon fractions and carbon pool management indicators in mid-subtropical Eucalyptus plantations[J]. Environmental Science, 2025, 46(2): 1032-1045.] | |
| [10] |
Rabbi S M F, Hua Q, Daniel H, et al. Mean residence time of soil organic carbon in aggregates under contrasting land uses based on radiocarbon measurements[J]. Radiocarbon, 2013, 55(1): 127-139.
doi: 10.2458/azu_js_rc.v55i1.16179 |
| [11] |
Wang X, Yu D, Xu Z, et al. Regional patterns and controls of soil organic carbon pools of croplands in China[J]. Plant and Soil, 2017, 421: 525-539.
doi: 10.1007/s11104-017-3462-z |
| [12] | 陈晓琴, 李小英, 陈梦婕, 等. 滇中元江栲林下土壤活性有机碳空间分布特征[J]. 森林与环境学报, 2024, 44(1): 45-52. |
| [Chen Xiaoqin, Li Xiaoying, Chen Mengjie, et al. Spatial distribution characteristics of soil active organic carbon of Castanopsis orthacantha forest in Central Yunnan Plateau[J]. Journal of Forest and Environment, 2024, 44(1): 45-52.] | |
| [13] |
习丹, 余泽平, 熊勇, 等. 江西官山常绿阔叶林土壤有机碳组分沿海拔的变化[J]. 应用生态学报, 2020, 31(10): 3349-3356.
doi: 10.13287/j.1001-9332.202010.009 |
|
[Xi Dan, Yu Zeping, Xiong Yong, et al. Altitudinal changes of soil organic carbon fractions of evergreen broadleaved forests in Guanshan Mountain, Jiangxi, China[J]. Chinese Journal of Applied Ecology, 2020, 31(10): 3349-3356.]
doi: 10.13287/j.1001-9332.202010.009 |
|
| [14] |
Knorr W, Prentice I C, House J I, et al. Long term sensitivity of soil carbon turnover to warming[J]. Nature, 2005, 433(7023): 298-301.
doi: 10.1038/nature03226 |
| [15] |
Luo Z K, Viscarra Rossel R A, Shi Z. Distinct controls over the temporal dynamics of soil carbon fractions after land use change[J]. Global Change Biology, 2020, 26(8): 4614-4625.
doi: 10.1111/gcb.v26.8 |
| [16] | 舒锟, 张家春, 张珍明, 等. 不同海拔梯度下梵净山土壤机械组成及养分特征[J]. 四川农业大学学报, 2017, 35(1): 52-59. |
| [Shu Kun, Zhang Jiachun, Zhang Zhenming, et al. Soil mechanical composition and nutrient properties along an elevational gradient in Fanjing Mountain[J]. Journal of Sichuan Agricultural University, 2017, 35(1): 52-59.] | |
| [17] | 庞欢. 新疆天山云杉林土壤有机碳及组分特征研究[D]. 北京: 北京林业大学, 2015. |
| [Pang Huan. The Variation Characteristics Research of Soil Organic Carbon and its Fractions in Spruce Forest of Tianshan in Xinjiang[D]. Beijing: Beijing Forestry University, 2015.] | |
| [18] |
Ma Q L, Wang X Y, Chen F, et al. Carbon sequestration characteristics of typical sand-fixing plantations in the Shiyang River Basin of northwest China[J]. Forests, 2024, 15(9): 1548.
doi: 10.3390/f15091548 |
| [19] |
贺郝钰, 刘蔚, 常宗强, 等. 腾格里沙漠南缘植被恢复对土壤有机碳组成及稳定性的影响[J]. 中国沙漠, 2024, 44(6): 307-317.
doi: 10.7522/j.issn.1000-694X.2024.00148 |
|
[He Haoyu, Liu Wei, Chang Zongqiang, et al. Effects of revegetation on soil organic carbon composition and stability in the southern edge of the Tengger Desert[J]. Journal of Desert Research, 2024, 44(6): 307-317.]
doi: 10.7522/j.issn.1000-694X.2024.00148 |
|
| [20] |
马全林, 张锦春, 陈芳, 等. 腾格里沙漠南缘花棒(Hedysarum scoparium)人工固沙林演替规律与机制[J]. 中国沙漠, 2020, 40(4): 206-215.
doi: 10.7522/j.issn.1000-694X.2020.00055 |
|
[Ma Quanlin, Zhang Jinchun, Chen Fang, et al. Mechanism and dynamics for succession of artificial Hedysarum scoparium sand-binding forests at the southern edge of Tengger Desert[J]. Journal of Desert Research, 2020, 40(4): 206-215.]
doi: 10.7522/j.issn.1000-694X.2020.00055 |
|
| [21] |
鲁元波, 严成, 宋春武, 等. 天山南坡山前荒漠草地植物群落分布对环境因子的响应——以拜城县为例[J]. 干旱区研究, 2023, 40(8): 1346-1357.
doi: 10.13866/j.azr.2023.08.15 |
|
[Lu Yuanbo, Yan Cheng, Song Chunwu, et al. Response of plant community distribution in the pre-montane desert grassland on the southern slope of Tianshan Mountain to environmental factors: A case study in Baicheng County[J]. Arid Zone Research, 2023, 40(8): 1346-1357.]
doi: 10.13866/j.azr.2023.08.15 |
|
| [22] | 吴国玺. 毛乌素沙地臭柏、油蒿根系分布特征与细根动态[D]. 呼和浩特: 内蒙古农业大学, 2006. |
| [Wu Guoxi. Roots’ Distribution Characteristics and Fine Root Dynamics of Sabina vulgaris and Artemisia ordosica in Mu Us Sandland[D]. Hohhot: Inner Mongolia Agricultural University, 2006.] | |
| [23] | 鲍士旦. 土壤农化分析(第三版)[M]. 北京: 中国农业出版社, 2000. |
| [Bao Shidan. Soil Agrochemical Analysis[M]. 3rd edition. Beijing: China Agriculture Press, 2000.] | |
| [24] | 魏亚娟, 汪季, 党晓宏, 等. 干旱荒漠区人工梭梭林土壤碳氮磷密度与生态化学计量特征[J]. 水土保持学报, 2022, 36(3): 259-266. |
| [Wei Yajuan, Wang Ji, Dang Xiaohong, et al. Soil carbon, nitrogen and phosphorus densities and ecological stoichiometry characteristics of Haloxylon ammodendron plantations in arid desert area[J]. Journal of Soil and Water Conservation, 2022, 36(3): 259-266.] | |
| [25] |
Leavitt S W, Follett R F, Paul E A. Estimation of the slow and fast cycling soil organic carbon fractions from 6 N HCl hydrolysis[J]. Radiocarbon, 1996, 38(2): 231-239.
doi: 10.1017/S0033822200017604 |
| [26] | 尚雯, 李德禄, 魏林源, 等. 石羊河流域干旱荒漠区人工梭梭林对土壤碳库的影响[J]. 水土保持学报, 2018, 32(3): 191-198. |
| [Shang Wen, Li Delu, Wei Linyuan, et al. Effect of artifical Haloxylon ammodendron plantation on soil carbon pools in arid desert region of Shiyang River Basin[J]. Journal of Soil and Water Conservation, 2018, 32(3): 191-198.] | |
| [27] | 苏培玺, 王秀君, 解婷婷, 等. 干旱区荒漠无机固碳能力及土壤碳同化途径[J]. 科学通报, 2018, 63(8): 755-765. |
| [Su Peixi, Wang Xiujun, Xie Tingting, et al. Inorganic carbon sequestration capacity and soil carbon assimilation pathway of deserts in arid region[J]. Chinese Science Bulletin, 2018, 63(8): 755-765.] | |
| [28] | 李畅, 杨忠芳, 余涛, 等. 干旱区无机碳碳汇作用及其对固碳减排贡献研究进展[J]. 中国地质, 2024, 51(4): 1210-1242. |
| [Li Chang, Yang Zhongfang, Yu Tao, et al. Carbon sink of soil inorganic carbon in arid regions and its contribution to carbon sequestration and emission reduction: A review[J]. Geology in China, 2024, 51(4): 1210-1242.] | |
| [29] |
Li Y Q, Chen Y P, Wang X Y, et al. Improvements in soil carbon and nitrogen capacities after shrub planting to stabilize sand dunes in China’s Horqin Sandy Land[J]. Sustainability, 2017, 9: 662.
doi: 10.3390/su9040662 |
| [30] |
Gao Y, Tian J, Pang Y, et al. Soil inorganic carbon sequestration following afforestation is probably induced by pedogenic carbonate formation in Northwest China[J]. Frontiers in Plant Science, 2017, 8: 01282.
doi: 10.3389/fpls.2017.01282 |
| [31] |
Post W M, Kwon K C. Soil carbon sequestration and land-use change: Processes and potential[J]. Global Change Biology, 2000, 6(3): 317-327.
doi: 10.1046/j.1365-2486.2000.00308.x |
| [32] |
Batool M, Cihacek L J, Alghamdi R S. Soil inorganic carbon formation and the sequestration of secondary carbonates in global carbon pools: A review[J]. Soil Systems, 2024, 8(1): 15.
doi: 10.3390/soilsystems8010015 |
| [33] |
Zhu X L, Si J H, He X H, et al. The distribution and driving mechanism of soil inorganic carbon in semiarid and arid areas: A case study of Alxa region in China[J]. Catena, 2024, 247: 108475.
doi: 10.1016/j.catena.2024.108475 |
| [34] |
Zhang F, Wang X J, Guo T W et al. Soil organic and inorganic carbon in the loess profiles of Lanzhou area: Implications of deep soils[J]. Catena, 2015, 126: 68-74.
doi: 10.1016/j.catena.2014.10.031 |
| [35] | 彭康, 张飞飞, 邵志东, 等. 新疆奇台绿洲不同耕作年限荒漠灰钙土无机碳变化及其影响因素[J]. 农业环境科学学报, 2024, 43(1): 91-101. |
| [Peng Kang, Zhang Feifei, Shao Zhidong, et al. Variation and influencing factors of desert-sierozem soil inorganic carbon in different tillage years in the Qitai Oasis, Xinjiang, China[J]. Journal of Agro-Environment Science, 2024, 43(1): 91-101.] | |
| [36] |
冯晓琳, 张楚天, 许晨阳, 等. 陕西省土壤无机碳的时空分布特征及影响因素[J]. 中国农业科学, 2024, 57(8): 1517-1532.
doi: 10.3864/j.issn.0578-1752.2024.08.008 |
|
[Feng Xiaolin, Zhang Chutian, Xu Chenyang, et al. Spatiotemporal distribution characteristics and influencing factors of soil inorganic carbon in Shaanxi Province[J]. Scientia Agricultura Sinica, 2024, 57(8): 1517-1532.]
doi: 10.3864/j.issn.0578-1752.2024.08.008 |
|
| [37] | 桑思月, 杨沂杰, 赵京东, 等. 围封对辽西北退化草地土壤有机碳含量的影响[J]. 生态学杂志, 2025, 44(3): 884-891. |
|
[Sang Siyue, Yang Yijie, Zhao Jingdong, et al. Effects of enclosure on soil organic carbon content of degraded grassland in northwest Liaoning Province[J]. Chinese Journal of Ecology, 2025, 44(3): 884-891.]
doi: 10.13292/j.1000-4890.202503.041 |
|
| [38] | 王珍, 常顺利, 王冠正, 等. 天山中段北坡森林土壤有机碳库稳定性组分沿海拔的分异规律[J]. 生态学报, 2023, 43(18): 7390-7402. |
| [Wang Zhen, Chang Shunli, Wang Guanzheng, et al. Altitudinal distribution of the forest soil organic carbon fractions on the norther slope of the middle Tianshan Mountains[J]. Acta Ecologica Sinica, 2023, 43(18): 7390-7402.] | |
| [39] | 张金硕, 李素艳, 孙向阳, 等. 山东省不同植被类型土壤有机碳及其组分分布特征[J]. 土壤, 2024, 56(2):350-357. |
| [Zhang Jinshuo, Li Suyan, Sun Xiangyang, et al. Characteristics of soil organic carbon and its components under different vegetation types in Shandong Province[J]. Soils, 2024, 56(2): 350-357.] | |
| [40] | 张穗粒, 盛茂银, 王霖娇, 等. 西南喀斯特长期植被修复对土壤有机碳组分的影响[J]. 生态学报, 2023, 43(20): 8476-8492. |
| [Zhang Suili, Sheng Maoyin, Wang Linjiao, et al. Effects of long term vegetation restorations on soil organic carbon fractions in the karst rocky desertification ecosystem, Southwest China[J]. Acta Ecologica Sinica, 2023, 43(20): 8476-8492.] | |
| [41] | 杨娥女. 黄土高原不同生态系统土壤有机碳特征和稳定性研究[D]. 杨凌: 西北农林科技大学, 2022. |
| [Yang Enü. Soil-Carbon Characteristics and Stability in Different Ecosystems on the Loess Plateau[D]. Yangling: Northwest Agriculture and Forestry University, 2022.] | |
| [42] | 张旭博, 李雄, 徐梦, 等. 不同土地利用方式下我国北方土壤有机、无机碳库的变化趋势及原因分析[J]. 植物营养与肥料学报, 2020, 26(8): 1440-1450. |
| [Zhang Xubo, Li Xiong, Xu Meng, et al. Vertical distribution of soil organic and inorganic carbon pools in soils of Northern China and their relationship under different land use types[J]. Journal of Plant Nutrition and Fertilizers, 2020, 26(8): 1440-1450.] | |
| [43] | 安立伟, 李志刚. 退化荒漠草地恢复对土壤有机碳及其驱动因子的影响[J]. 生态学报, 2024, 44(13): 5519-5531. |
| [An Liwei, Li Zhigang. Effects of the degraded desert grassland restoration on soil organic carbon and its driving factors[J]. Acta Ecologica Sinica, 2024, 44(13): 5519-5531.] | |
| [44] | 孙宏伟, 闫美芳. 黄河流域煤矿区土壤有机碳库的修复及其影响因素:基于Meta分析[J]. 环境科学, 2025, 46(3): 1690-1702. |
| [Sun Hongwei, Yan Meifang. Soil carbon restoration and its influencing factors in coal mining areas of Yellow River Basin: A meta-analysis[J]. Environmental Science, 2025, 46(3): 1690-1702.] | |
| [45] | 赵晶晶, 贡璐, 安申群, 等. 塔里木盆地北缘绿洲不同连作年限棉田土壤有机碳、无机碳含量与环境因子的相关性[J]. 环境科学, 2018, 39(7): 3373-3381. |
| [Zhao Jingjing, Gong Lu, An Shenqun, et al. Correlation between soil organic and inorganic carbon and environmental factors in cotton fields in different continuous cropping years in the oasis of the northern Tarim Basin[J]. Environmental Science, 2018, 39(7): 3373-3381.] | |
| [46] | 曲安然, 巩闪闪, 冯二朋, 等. 不同土地利用方式对济源石质山区土壤速效养分季节变化的影响[J]. 河南农业大学学报, 2022, 56(3): 471-478. |
| [Qu Anran, Gong Shanshan, Feng Erpeng, et al. Effects of different land-use types on seasonal dynamics of soil available nutrients in rocky mountainous areas of Jiyuan[J]. Journal of Henan Agricultural University, 2022, 56(3): 471-478.] | |
| [47] |
Wang Z Y, Xie J B, Wang Y G, et al. Biotic andabiotic contribution to diurnal soil CO2 fluxes from saline/alkaline soils[J]. Scientific Reports, 2020, 10: 5396.
doi: 10.1038/s41598-020-62209-2 |
| [1] | LIU Jiayue, KOU Wei, YUAN Jianqiang, XUE Shaoqi, WANG Xudong. Effects of incorporating medium and trace elements on the mineralization characteristics and soil organic carbon components of aeolian sandy soil [J]. Arid Zone Research, 2025, 42(7): 1246-1256. |
| [2] | HE Jianlan, YAN Qingwu, CHEN Yiyun, LI Keqi, BAI Junping, WU Zihao. Spatial prediction and master factors of soil organic carbon in the middle section of Tianshan Mountains [J]. Arid Zone Research, 2025, 42(10): 1828-1840. |
| [3] | XING Xinran, ZHANG Yi, LI Peng, LIU Xiaojun, TAO Qingrui, REN Zhengyan, XU Shibin. Simulated effects of soil enzyme activity on soil organic carbon mineralization in dam land under dry and wet conditions [J]. Arid Zone Research, 2024, 41(11): 1969-1980. |
| [4] | MA Jilong, SHI Junhui, WANG Xinying, Aliya BAIDOURELA, LIU Maoxiu, Aijier ABULA. Effects of flood overflow on soil organic carbon and active components of Populus euphratica forest in the middle reaches of the Tarim River [J]. Arid Zone Research, 2023, 40(8): 1248-1257. |
| [5] | CHANG Shuai,YU Hongbo,CAO Congming,MA Zice,LIU Yuexuan,LI Xiang. Distribution characteristics of soil organic carbon in Xilin Gol steppe and its influencing factors [J]. Arid Zone Research, 2021, 38(5): 1355-1366. |
| [6] | ZHANG Yarou,AN Hui,WANG Bo,WEN Zhilin,DU Zhongyu,WU Xiuzhi,LI Qiaoling. Effects of short-term nitrogen and phosphorus addition on unprotected soil organic carbon in desert grassland [J]. Arid Zone Research, 2021, 38(1): 95-103. |
| [7] | LIU Lizhen,PANG Danbo,WANG Xinyun,CHEN Lin,LI Xuebin,WU Mengyao,LIU Bo,ZHU Zhongyou,LI Jingyao,WANG Jifei. Application of stable carbon isotope technique in soil organic carbon research: A literature review [J]. Arid Zone Research, 2021, 38(1): 123-132. |
| [8] | WANG Mei-jia, WANG Feng, SU Si-hui, SU Ye-han, SUN Yue, WANG Ying-yan, MENG Guang-Xin, JIANG Ying, QI Hua. Effects of Straw Turnover on Soil Water-Stable Aggregates and Soil Carbon Distribution [J]. Arid Zone Research, 2019, 36(2): 331-338. |
| [9] | LI Dian-peng, SUN Tao, YAO Mei-si, LIU Sui-yunhao, WANG Li-ping, WANG Hui, JIA Hong-tao. Carbon Density and Its Distribution Pattern of Ecosystem in Saline Region [J]. Arid Zone Research, 2018, 35(4): 984-991. |
| [10] | REN Guang-qi, JIA Xiao-xu, JIA Yu-hua, GUO Cheng-jiu. Spatial Variation of Soil Organic Carbon Content and Its Driving Factors along South-North Transect in the Loess Plateau of China [J]. Arid Zone Research, 2018, 35(3): 524-531. |
| [11] | FU Dong-lei,LIU Meng-yun,LIU Lin,ZHANG Kun,ZUO Jin-xiang. Organic Carbon Density and Storage in Different Soils on the Loess Plateau [J]. , 2014, 31(1): 44-50. |
| [12] | WANG Yuan-Gang, LUO Ge-Ping, FENG Yi-Xing, LI Chao-Fan, HAN Qi-Fei, FAN Bin-Bin. Vertical Distribution of Soil Organic Carbon in Different Land Cover Types in Northern Piedmont of the Tianshan Mountains [J]. , 2013, 30(5): 913-918. |
| [13] | SU Jian-hong, ZHU Xin-ping, WANG Xin-jun, JIA Hong-tao, ZHAO Cheng-yi, HU Yu-kun, LI Li-jun. Effects of Long-term Enclosure on Spatial Variation of Soil Organic Carbon Content in the Bayanbulak Subalpine Steppe [J]. Arid Zone Research, 2012, 29(6): 997-1002. |
| [14] | WANG Cheng, LI Ning, WANG Xing-Peng, ZHANG Jun, JIANG Qian, WANG Liang. Vertical Distribution of Soil Organic Carbon Content in Rhizosphere of Jujube at Its Different Growth Stages under Drip Irrigation with Salty Water [J]. , 2012, 29(5): 883-889. |
|
||